Thesis Projects

Finished PhD projects

A dress code for galaxies: how the interplay of gas, stars, dark matter
and environment shapes their appearance in simulations

 

The formation and evolution of galaxies is still not fully understood. Especially the details of how the different types of galaxies have formed has been a matter of debate for many decades. Observations only show snap-shots of galaxies and one has to put together many pieces of this complex puzzle. In this work, we analyze galaxies extracted from the state-of-the-art hydrodynamical cosmological simulations taken from the Magneticum Pathfinder simulation set, in which galaxies form that reproduce many observational scaling relations. 

Each chapter of this thesis addresses a different aspect of the interplay of the halo and the galaxy residing within it. For this, various estimators and indicators of galaxy formation channels, such as the kinematics of the galaxy components, the satellites and the environment, as well as the stellar populations, are discussed. We show that the morphology of a galaxy is closely related to the details of its evolutionary history, in particular to the distribution of the angular momentum and the stellar population. Furthermore, we show the influence of the environment, in which a galaxy forms, on its  angular momentum, its kinematics and its morphology. From this we can conclude that the interaction of mass and angular momentum is an important tracer of the morphology and other kinematic and intrinsic properties of the galaxy.

Adelheid Teklu

File Arrow Down Thesis

A web portal for hydrodynamical, cosmological simulations

 

The current generation of hydrodynamic cosmological simulations is facing a number of challenges when it comes to running and analysing larger and more resolved volumes in order to compare numerical studies with observational data. First, simulation codes need to fully exploit the computational capabilities of current and future generations of 

supercomputers. Additionally, the amount of data generated by the most recent hydrodynamic simulations (>0.5 PB) poses a physical barrier when it comes to opening the access and sharing results with the scientific community: queries, lookups and filtering over such high amount of data need that are often not part of the background knowledge of a scientist working in such field; additionally, since only a HPC storage is capable of containing such amount of data, this prevents a public access of the scientific results, as scientists are required to apply and register to HPC facilities. 

 

There I work on all challenges described above: 

(i) a tailored optimisation and a refactor of a widely used code for simulations (Gadget3) made it possible to scale over the full SuperMUC to run the largest, cosmological simulations with baryon physics of the time (Magneticum Box0/mr and Magneticum Box2b/hr, PI Dr. Klaus Dolag), 

(ii) a web portal to share such high amount of data by means (c2papcosmosim.uc.lrz.de), 

(iii) a detailed study and comparison with observations of the simulated galaxy clusters over unprecedented simulated range of mass for hydrodynamic simulations and 

(iv) to port the code to the GPUs in order to exploit the future generation of supercomputers. In order to relieve Gadget3 from its bottlenecks and scale it over the whole SuperMUC, it was not only necessary to have a deep knowledge of HPC, 

communication protocols and parallelisation schemes: a complete change in the underlying neighbour search of Gadget3, which exploits space-filling curve ordering of particles, made it possible to let the code spend most of computing time in actual physical computation.

Antonio Ragagnin

File Arrow Down Thesis

Modelling active galactic nuclei in cosmological simulations: how sub-grid models help to reveal the driving mechanisms of nuclear activity

 

Although it is generally accepted that Active Galactic Nuclei (AGN) are driven by supermassive black holes (SMBHs) which reside in the centres of galaxies, their detailed physical driving mechanisms are not yet fully understood. In this thesis we make use of the Magneticum Pathfinder simulation set, which is a set of cosmological hydrodynamic simulations with different resolutions and volumes. In these simulations sub-grid models are used to mimic the growth of BHs as self-consistently as possible, assuming that the accretion rate onto the BH and the associated AGN feedback depend on the properties of the surrounding gas.

Cosmological simulations, which reproduce observed properties of BHs and their host galaxies, are not only an ideal testbed to study the formation and evolution of galaxies, but also to get insights into the driving mechanisms of AGN activity. The Magneticum Pathfinder simulations follow the dynamical evolution of BHs during galaxy mergers down to the resolution limit and, thus, they enable to investigate in detail the role of mergers for driving nuclear activity. Thereby, they do even produce a number of SMBH pairs with separations of only a few kpc, including dual AGN. Since the probability for AGN activity in our simulations increases with decreasing separation between the SMBHs, one might expect that galaxy mergers play a major role for driving AGN activity. However, turning towards the overall AGN population, we find that only a small fraction of AGN is driven by recent galaxy mergers. Finally, we use a large sample of simulated AGN to relate AGN to their host dark matter haloes. This reveals their large scale distribution, which turns out to be far more complex than that of the overall simulated galaxy sample.

Lisa Steinborn

 

File Arrow Down Thesis

The Galactic Center cloud G2 as an outflow from a central star

 

The gas and dust cloud G2 is orbiting around SgrA* on a very eccentric orbit and it has been passing pericenter in the early 2014 (Gillessen et al., 2012, 2013a,b, Pfuhl et al., 2015). Its discovery has triggered a large interest in the astronomical community, with several speculations on its fate, in its interaction with the hot surrounding gas and with the supermassive black hole in the Center of the Milky Way. However, the nature of G2 is still a matter of debate. In this PhD project, 2D and 3D AMR hydrodynamic simulations allowed us to test one specific scenario, namely G2 being the outflow from a central source (Ballone et al., 2013; in preparation; see also De Colle et al., 2014). This meant implementing the injection of gas in the simulation from an inner moving boundary on the best-fit observed orbit. A first set of simulations in 2D allowed us to study, with high resolution, the structure of such an outflow and to get an estimate of the parameters - namely the mass-loss rate and the velocity of the outflow -, needed to reproduce the observational properties of G2. The output values are compatible with those of a T Tauri star, as already suggested by Scoville $ Burkert (2013). Most recent simulations in 3D cartesian coordinates, using the AMR implementation of PLUTO, allow us a stricter comparison with the current IR observations, through the construction of mock position-velocity (PV) diagrams for the integral field spectrograph SINFONI at VLT.

Alessandro Ballone

 

File Arrow Down Thesis

The Outer Structure of Elliptical Galaxies and their Dark Matter Halos

 

The outer haloes of elliptical galaxies have been studied by observations of planetary nebulae as tracers for the LOSVD for several years to adress the questions of the nature of the Dark Matter halo they are embedded in and the mechanisms that drive the formation of elliptical galaxies, revealing a huge variety of different profiles, some flattening to nearly constant values, some increasing again in the outer part and some decreasing fastly, showing nearly no evidence of a dark matter halo. We try to explain the nature of the different profiles by studying different evolution scenarios for elliptical galaxies from simulations. 

Rhea-Silvia Remus

File Arrow Down Thesis

Impact of massive stars on the surrounding medium

 

The aim of this project is to shed light on the impact of massive stars on the interstellar medium (ISM) in their surroundings. A good example of a region revealing such interactions between stars and the ISM is the Orion/Eridanus Superbubble (OES), a cavity blown by stellar winds and supernova explosions. This region has the advantage of being well observed. Its interaction with the local bubble, the dilute region in the ISM in which our sun is located, makes this zone even more interesting. We have developed a population synthesis code using modern stellar models to calculate the output of mass and energy from groups of massive stars, so-called OB associations. The spread of the ejecta into the ISM is followed with hydrodynamical simulations. The observational constraints on the 26Al distribution provide information on the time scales of the interaction process, since 26Al is a radioactive trace element that decays approximately a million years after being ejected from the stars. Thus, the spread of 26Al in different hydro models will help to understand the peculiar shape (distribution of density, shocks, evolution of star birth regions) of the OES. 

Katharina Fierlinger

 

File Arrow Down Thesis

Massive star feedback and triggered star formation

 

Over their lifetime massive stars strongly affect the surrounding cloud. Strong stellar winds and ionizing radiation create HII regions, generate bubbles and pillar-like structures. The compression of material by the wind and the radiation shocks eventually leads to gravitational collapse and subsequent star formation. To study the effects of massive star feedback on the surrounding cloud, we perform numerical simulations using smooth particle hydrodynamics (SPH) and perform a detailed comparison of the results with multi-wavelength observations of the Carina nebula which is the most nearby southern region with an important population of massive stars.

The objectives are:

  • to determine the relative importance of ionizing feedback and stellar winds from high mass stars.
  • to understand the effects of massive star feedback on the star formation process, i.e. to determine whether star formation is inhibited or rather triggered by stellar feedback.
  • to assess the importance of the second generation of stars in comparison to the first one in a star forming region.

Image: A pillar of gas in the Carina Nebula. Radiation and fast winds from the stars sculpt the pillar and cause new star formation within it (Credit: NASA, ESA, and the Hubble SM4 ERO Team). 

 

Judith Ngoumou

File Arrow Down Thesis

Simulating Star formation near the Galactic Centre Black Hole

 

In this work we try to understand the formation of the discs of stars near the Galactic Centre in our Milky Way, as observed by the infrared group at the MPE (Genzel et al. 2003, Paumard et al. 2006, Bartko et al. 2009). For this we simulate the infall of molecular clouds onto the central black hole using the smoothed particle hydrodynamics (SPH) code GADGET2. During the encounter the clouds engulf the black hole in part, leading to gas streaming around the black hole with opposite angular momentum. This gas collides and settles into an eccentric accretion disc around the black hole which eventually becomes unstable and fragments into the observed stellar disc.

 

Christian Alig

File Arrow Down Thesis

Deriving a clump mass function of the Carina Nebula

 

The Young Stars & Star Formation group (Head: Prof. Thomas Peibisch) is currently involved in a large multi-wavelength project to study the young stellar populations in the Carina Nebula. This site of very recent and ongoing massive star formation allows a detailed look at the interaction of the winds and radiation of the numerous very massive young stars with the surrounding molecular clouds. With near-infrared, X-ray, and sub-mm observations we will investigate how the feedback from the massive stars disperses remnant clouds at some locations and triggers new generations of stars in other locations. I am using sub-mm data which trace the cold dust to derive a clump mass function of the Carina Nebula. Our aims are to investigate the cloud morphology and the effects of massive stellar feedback on the molecular cloud.

 

Stephanie Pekruhl

File Arrow Down Thesis

Studying the physics of galaxy clusters by simulations and X-ray observations

 

Clusters of galaxies are optimal targets to study the large--scale structure of the Universe as well as the complex physical processes on the smaller scales. It is therefore vital to unveil cluster intrinsic structure, precisely estimate their total gravitating mass, and accurately calibrate scaling relations between observable quantities. A promising approach to achieve a more detailed picture of such complicated objects is found in the comparison between hydrodynamical numerical simulations of galaxy clusters and X--ray observations.

 

Veronica Biffil

File Arrow Down Thesis

Supernova-driven Galactic Winds

 

Galactic winds are common features within Lyman-alpha emitting galaxies at redshifts z>2. It however remains unclear what mechanisms are responsible to launch this type of outflow. The underlying project is based on hydrodynamic grid simulations with NIRVANA to investigate the conditions for a supernovae-driven galactic wind, and will also include a detailed parameter studies.

 

Wolfgang von Glasow

File Arrow Down Thesis

Studying the survival of galaxies in hydrodynamical simulations of clusters

 

The project aims at investigating galaxy cluster formation and evolution by means of numerical simulations performed with a modified version of the TreeSPH code GADGET-3. This new version of the code employs adaptive softening to describe the gravitational interaction between the simulation particles; having this quantity variable in space and time, as opposed to having it fixed at the beginning of the simulation, allows to increase the spatial resolution in overdense regions whilst keeping particle-particle noise under control in less dense environments. Simulations involving gravitational as well as gas dynamics are likely to considerably benefit from the adoption of this scheme: the adaptive behaviour of the resolution scale should allow to follow the collapse of dark matter and particularly gas down to scales which are currently unachievable in standard simulations at comparable mass resolution, thus providing a more reliable representation of the behaviour of galaxy-like substructures.

 

Francesca Iannuzzi

File Arrow Down Thesis

Studying the survival of galaxies in hydrodynamical simulations of clusters

 

The project aims at investigating galaxy cluster formation and evolution by means of numerical simulations performed with a modified version of the TreeSPH code GADGET-3. This new version of the code employs adaptive softening to describe the gravitational interaction between the simulation particles; having this quantity variable in space and time, as opposed to having it fixed at the beginning of the simulation, allows to increase the spatial resolution in overdense regions whilst keeping particle-particle noise under control in less dense environments. Simulations involving gravitational as well as gas dynamics are likely to considerably benefit from the adoption of this scheme: the adaptive behaviour of the resolution scale should allow to follow the collapse of dark matter and particularly gas down to scales which are currently unachievable in standard simulations at comparable mass resolution, thus providing a more reliable representation of the behaviour of galaxy-like substructures.

 

Francesca Iannuzzi

File Arrow Down Thesis

Formation of cold filaments and interstellar turbulence

 

I study the formation of cold filaments in the ISM with hydrodynamical simulations of wind-blown superbubbles from OB associations using the RAMSES code. I am also interested in the drivers and properties of interstellar turbulence. The picture shows a zoom-in on one of the formed filaments in the simulation. Axes are in parsecs, shown is logarithm of hydrogen number density.

Eva Ntormousi

 

File Arrow Down Thesis

On the non-thermal emission in galaxy clusters

 

We investigate the transient phenomenon of radio haloes - Mpc sized, diffuse radio sources found exclusively in a fraction of merging galaxy clusters. The non-thermal spectrum suggests that in the intra cluster medium Cosmic Ray electrons interact with magnetic fields to emit Synchrotron radiation. Using the cosmological MHD SPH code Gadget3 we investigate Secondary and, for the first time, Reacceleration models as sources for the short lived cosmic ray electrons.

Julius Donnert

File Arrow Down Thesis

Smoothed particle magneto-hydro-dynamics for cosmological applications

 

We study novel implementations of MHD in SPH, constraining and understanding the effects of non divergentless magnetic field. We apply this methods in non-radiative cosmological simulations that allow us to study the large scale effects of magnetic fields and we found limits in detectability for current instrumental capabilities.

 

 

Federico Stasyszyn

File Arrow Down Thesis

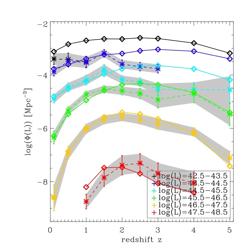
Origin of the anti-hierarchical growth of black holes in the universe

 

In our current picture of galaxy formation, it is commonly accepted that every spheroidal galaxy hosts a supermassive black hole (SMBH) in its center. Moreover, SMBHs are found to be tightly correlated to properties of their host galaxies, as luminosity, bulge mass, velocity dispersion. This suggests a co-evolution of galaxies and black holes. However, detailed physical processes are still not well understood. One puzzling question, which we assess in this study, is to understand the observed downsizing trend in black hole growth. Investigating the number density evolution of AGN, observations show that luminous AGN peak at higher redshifts than less luminous ones (see colored dashed lines and grey shaded areas in the left image), implying that massive black holes form already very early in the universe, whereas less massive objects predominantly seem to form at later times. However, in order to explain the observed downsizing within a hierarchical structure formation model, accretion mechanisms onto the black holes and their corresponding efficiences will be of crucial importance. Thus in order to investigate this problem, we use a semi-analytic model, where we find additional modifications to be important ingredients in order to match the observations. This is illustrated by the solid, colored lines in the panel on the left-hand side showing a reasonably good agreement with the observations.

 

Michaela Hirschmann

File Arrow Down Thesis

Magnetic field evolution in spiral galaxies

 

Magnetic fields are believed to be importanant in many astrophysical processes like star formation, cosmic ray confinement and jet formation. However, despite their importance, the origin and evolution of magnetic fields in galaxies is still not well understood. Magnetic field evolution is tightly coupled to galactic evolution. In the standard cold dark matter clustering models, galaxies evolve through several major and minor mergers of galaxies and galactic subunits. Thus, galactic interactions should be a crucial part of magnetic field evolution, which is why we investigate interacting galaxies including magnetic fields using N-body/SPH simulations. Our studies show that magnetic fields are efficiently amplified up to equipartition between magnetic and turbulent pressure during galactic collisions. Moreover, magnetic fields seem to be important for the propagation of shocks in the interstellar medium. Therby, the Mach numbers of the shocks are higher for stronger magnetic fields, suggesting that the shocks are supprted by magnetic pressure. Artificial radio maps of our simulated systems are in good agreement with observations.

 

Hanna Kotarba

File Arrow Down Thesis

Hydrodynamical Instabilities and the Trace of Dark Energy within the CMB

 

Part I: The first part concentrates on the numerical description of the Kelvin-Helmholtz instability (KHI), based on the two most widely used approaches, 'Smooth particle Hydrodynamics' (SPH) and grid based codes. Re-derving the analytical linear viscous KHI growth rate we study the evolution in detail and compare the simulated amplitudes with the analytical expectation. 

Part II: The second part analyzes the influence of Dark Energy on cosmic structures, which results in non-Gaussian contributions known as secondary anisotropies. In particular, the Rees-Sciama effect (which includes the nonlinear evolution of structures) plays a crucial role. The effect of different DE models, such as quintessence can be studied analytically with the three point correlation function, or the bispectrum.

 

Veronika Junk

File Arrow Down Thesis

This website makes use of cookies. Please see our privacy policy for details.

Deny

OK